
British BS 88 — 240V: 6-900A
BS 88 style stud-mount fuses
Specifications
Description: BS 88 style stud-mount high speed semiconductor fuses.
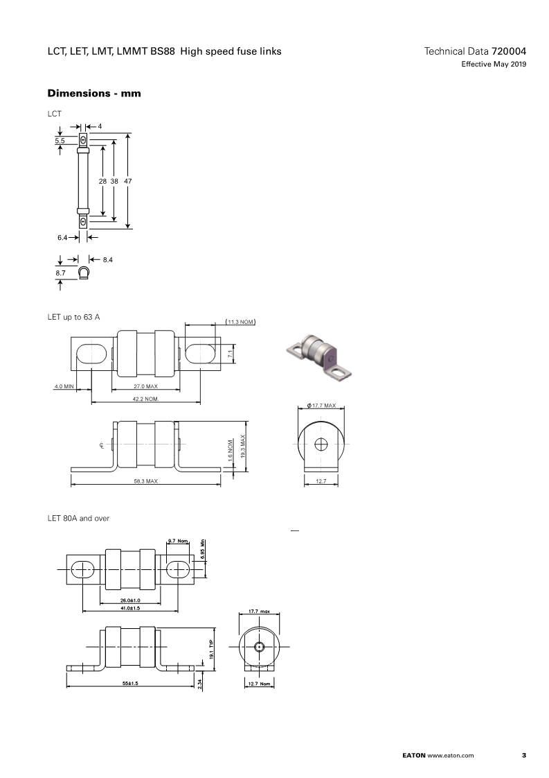
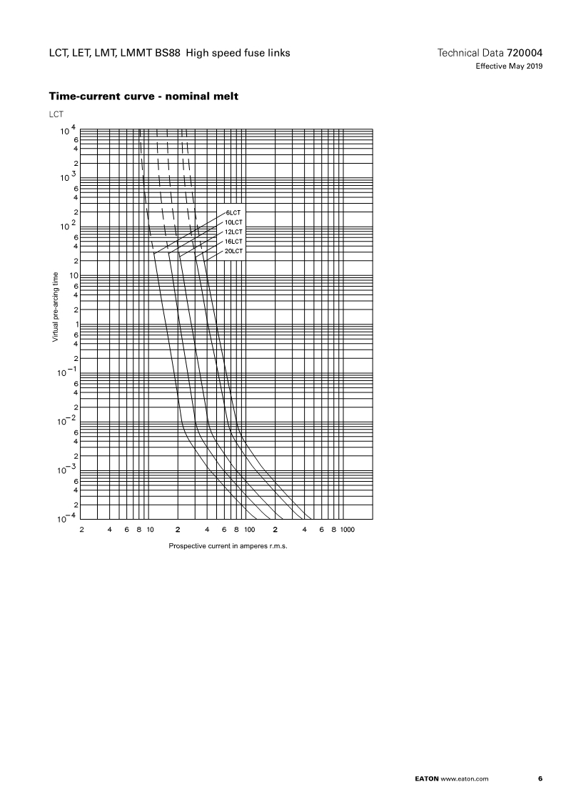
Dimensions: See dimensions illustrations.
Ratings:
Volts: 240Vac/150Vdc
Amps: 6-20A
IR: 200kA RMS Sym.
Agency Information: CE, Designed and tested to: BS 88 Part 4, IEC 269 Part 4, UL Recognized. All fuses above have been tested at 318Vac. Consult Cooper Bussmann for specific UL Recognition status.
Catalog Numbers
• Watts loss provided at rated current.
Features and Benefits
• Excellent cycling capability
• Excellent DC performance
• Low arc voltage and low energy let-through (I2t)
Typical Applications
• DC common bus
• AC and DC drives
• Power converters/rectifiers
• Reduced voltage starters








